fhdFoam
FHDFOAM é um projeto de construção de códigos open-source baseados em modificações de solvers originais da biblioteca de dinâmica dos fluidos computacional (CFD) openFoam. O objetivo do projeto consiste no desenvolvimento de ferramentas gratuitas voltadas à simulação computacional de escoamentos de fluidos magnéticos sob a ação de campos externos com ou sem transferência de calor. O nome do projeto se baseia na sigla em inglês para Ferrohidrodinâmica (fhd), área da física responsável pela modelagem matemática do comportamento de escoamentos de fluidos magnéticos.


O projeto se baseia na construção de diferentes "solvers" destinados à solução de problemas em diferentes campos da Ferrohidrodinâmica. Esses solvers são customizados para atender a um determinado tipo de cenário físico dentro do contexto de problemas que envolvam a modelagem do comportamento de fluidos magnéticos sujeitos à ação de um campo externo que podem ou não estar sujeitos à processos de troca de calor. Nesse sentido, um determinado solver destinado à resolver a distribuição de temperatura em um tumor impregnado com um ferrofluido biocompatível na ação de um campo oscilatório irá resolver equações diferentes de um outro solver destinado à modelagem do comportamento do escoamento de um fluido magnético confinado numa cavidade aquecida sujeito à ação de um ímã permanente.


Esses solvers são desenvolvidos pelo Prof. Rafael Gabler Gontijo em parceria com seus alunos, ex-alunos e colaboradores e são sempre validados com base em comparações com experimentos, teorias ou outras simulações de outros autores. A ideia do projeto é disponibilizar para a comunidade científica códigos abertos dentro do contexto do openFoam para que outras pessoas possam se interessar por estudos no campo da ferrohidrodinâmica. Os códigos desenvolvidos dentro do contexto do fhdFoam são disponibilizados de maneira gratuita por meio de um repositório do gitHub.


Além dos solvers, o projeto busca disponibilizar também scripts programados em bash (linguagem de terminais Linux) responsáveis por realizar tarefas de pré e pós processamento de dados simulados com integração com outros programas gratuitos consolidados no âmbito do projeto GNU. Esses scripts executam tarefas de interesse específico de cada solver desenvolvido. Um exemplo é o script de geração de condição inicial de múltiplos tumores em contexto de magnetohipertermia utilizado no solver mhtFoam.


Além do objetivo principal de divulgação científica, o projeto possui viés educacional, no sentido de estimular o desenvolvimento de programas de simulação computacional por estudantes de diferentes áreas das ciências exatas utilizando apenas ferramentas gratuitas e disponibilizando além dos códigos fonte do projeto, vídeos e tutoriais didáticos que permitam que um número cada vez maior de pessoas possa se aventurar no mundo dos terminais Linux, da programação e da simulação computacional.
Solvers vinculados ao projeto
Filosofia do projeto: um programa customizado para cada "física"




mhtFoam
magnetoconvectionFoam
Esse solver foi criado com o objetivo de viabilizar a simulação do processo de aquecimento localizado de tumores sujeitos à magnetohipertermia. Nesta técnica, um fluido magnético biocompatível é inserido no interior de um tumor e posteriormente submetido a ação de um campo magnético transiente em alta frequência. Como as partículas magnéticas demoram um certo tempo para responder à ação do campo externo, uma parcela da resposta do ferrofluido estará sempre fora de fase com relação ao campo. Esse fenômeno, conhecido como histerese magnética, leva a um processo físico irreversível de dissipação da energia do campo sob a forma de calor nos tecidos biológicos. A evolução do campo de temperatura no espaço e no tempo é regida por uma equação diferencial parcial não-linear, baseada na primeira lei da termodinâmica. Essa equação considera diversos mecanismos físicos que se manifestam na escala dos tecidos biológicos envolvidos. Dentre estes, destaca-se: a condução de calor, a perfusão sanguínea responsável pela termo-regulação dos tecidos biológicos, a taxa de geração metabólica e o trabalho do campo magnético sobre o sistema, que deve ser modelado utilizando teorias da ferrohidrodinâmica. Além disso, considera-se no modelo desenvolvido o espalhamento do ferrofluido ao longo do processo de aquecimento tumoral, que é modelado por meio de uma equação de difusão transiente.






A linha contínua representa resultados de simulação do mhtFoam e os círculos preenchidos representam dados experimentais obtidos com um rato de laboratório vivo por Salloum et al. (2008)


Malha de cálculo tridimensional típica utilizada na simulação de um único tumor esférico
Dicionário de imposição de quantidades de entrada


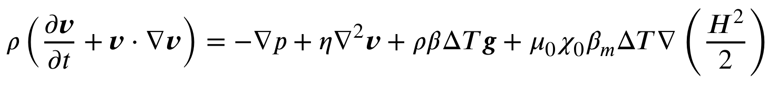
Esse solver foi criado com o objetivo de simular o escoamento de um ferrofluido sujeito à um gradiente de temperatura e de campo magnético simultaneamente no contexto de convecção termomagnética. Nesse problema, além do empuxo termogravitacional associado à variação da densidade do material devido a gradientes térmicos, o fluido experiencia um empuxo de origem termomagnética associado à variações em sua susceptibilidade magnética induzidas por gradientes de temperatura. Esse fenômeno é particularmente interessante pensando em aplicações de controle de processos de troca de calor por meio de campos magnéticos em ambientes de microgravidade. O solver original foi validado com base em uma comparação com dados de simulações desenvolvidas por outros autores utilizando outras ferramentas (Cunha et al., 2020). Nesse cenário de validação apenas o efeito termomagnético é avaliado, ou seja, considera-se o fluido em um ambiente livre da ação da gravidade. O problema utilizado para fins de validação é ilustrado na figura abaixo.







Nesse cenário um ímã permanente é colocado lateralmente ao domínio de cálculo enquanto o ferrofluido é submetido a um gradiente vertical de temperatura. Como a parede de cima é aquecida e a de baixo é resfriada, na ausência de campo magnético não existe escoamento induzido.
A aplicação do campo magnético externo induz então o movimento de células convectivas recirculantes de origem magnética que auxiliam o processo de troca de calor entre a parede quente e a parede fria por meio do ferrofluido confinado. Conforme a intensidade do campo aplicado aumenta, os padrões de movimento do fluido variam e afetam os coeficientes convectivos de troca de calor, ou seja, o controle das taxas de troca de calor se dá por meio do controle dos padrões de movimento do fluido, que pode ser observado por meio de simulações computacionais utilizando o solver magnetoconvectionFoam.








A linha contínua representa resultados de simulação do magnetoconvectionFoam e os círculos preenchidos representam dados das simulações de Cunha et al. (2020) feitas por um solver independente programado em Fortran utilizando elementos finitos.
Mudança dos padrões de movimento induzida por um aumento no gradiente de campo magnético aplicado. A figura da direita está associada a uma maior intensidade de campo magnético.
Equipe
Juntos somos mais fortes!






Ciro Fraga Alegretti, Doutor em Engenharia Mecânica (Unicamp)
André de Oliveira Brandão, discente de Eng. Mecânica (UnB)
Arthur Cezário Oliveira, discente de Eng. Mecânica (UnB)
Deseja colaborar com o projeto?
Nos envie uma mensagem!


Gabriel Marcos Magalhães, Doutor em Engenharia Mecânica (UFU)


Rafael Gabler Gontijo, Doutor em Ciências Mecânicas (UnB)